Walnut High School

Skip to main content
Mobile Menu
Facebook Twitter Instagram

Honors Chemistry (Period 2) Assignments

Instructor
Garrett Lim
Term
Spring 2019
Department
Science
Description

Welcome to Mr. Lim's Chemistry Honors webpage. This class is designed to help you gain a fundamental background in chemistry and to develop a scientific way of thinking about life. This class is designed to help you succeed on the Common Core test in April and to serve as a foundation if you choose to move on to Advanced Placement (AP) Chemistry. I'm excited about what the year has in store for us and I hope that you enjoy the wonderful world of chemistry!


Assignment Calendar

Upcoming Assignments RSS Feed

No upcoming assignments.

Past Assignments

Due:

Assignment

Final!!!  Here are the old study guides from first semester if you want to redo them.

Due:

Assignment

Study Guide #4

Due:

Assignment

Acid/Base, etc. Study Guide

Due:

Assignment

Stoich Study Guide

Due:

Assignment

Gases, etc. Study Guide

Due:

Assignment

Quiz Today!
 
Extra practice and answers below

Due:

Assignment

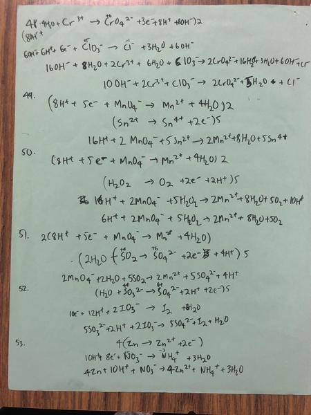
Redox Balancing Worksheet #6-10
All four problems on the second worksheet (make sure that you treat them all as basic solutions)
 
Some answers: 

Worksheet #1 (small font) Answers (Coefficients of the original equation listed. If not in the original equation, like H2O or H+ or OH-, it will be written out): 

6: 4H+, 1, 2 --> 1, 2, 2H2O 
8: 16H+, 2, 10 --> 2, 5, 8H2O (watch out for doubling of chlorine/chloride!) 

Worksheet #2 (big font) Answers (Coefficients of the original equation listed. If not in the original equation, like H2O or H+ or OH-, it will be written out): 

#2: 2H+, 1, 2 --> 2, 1 (no additional H2O needed since it's already in the equation!!!) 
#4: 2OH-, 2, 3 --> 2, 3, 1H2O 

Due:

Assignment

Redox Balancing Worksheet #1-5
 

Due:

Assignment

p. 640 #1-3, p. 642 #4, 5 (write down the oxidation number for ALL elements in the compounds), p. 643 #8, 9
 
I have attached the answers to the practice problems we did in class.
 

Due:

Assignment

Organic Chemistry Test

Due:

Assignment

Print out notes!!!
 
Esterification Lab Due

Due:

Assignment

Organic Chemistry Study Guide due

Due:

Assignment

p. 721 #25, 26, p. 746 #11b, p. 753 #14, 15abcdf, p. 773 #1

Due:

Assignment

Naming Hydrocarbons Worksheet
 
AND Organic Chemistry Quiz!

Due:

Assignment

Isomers of Hexane Worksheet

Due:

Assignment

Alkane, Alkene, Alkyne Chart

Due:

Assignment

Due:

Assignment

Acid/Base Test!
 

Due:

Assignment

Article Questions and Titration Lab Due!

Due:

Assignment

Study Guide due.   
 

Due:

Assignment

p. 616 #23, p. 884 #20, 21 (the acid in #21 can be written as HC3H5O2)
 
AND write the dissociation equation, constant expression AND ICE chart for the following:

a. 0.350M HNO2
b. 0.350M H2SO3
c. 0.350M NH3 (hint: this is a base so make sure that you add water to this!)
 
 

Due:

Assignment

Acid/Base Quiz
 
Finish Cabbage Lab

Due:

Assignment

p. 609 #18, p. 611 #19 and p. 612 #20 p. 614 #21, 22, p. 884 #11-19

Due:

Assignment

Acid/Base/Electrolyte Worksheet

Due:

Assignment

Kinetics/Equilibrium Test and don't forget to print out notes!
 
Jeopardy below...

Due:

Assignment

Kinetics/Equilibrium Study Guide
 
Also, print out notes!!!
 

Due:

Assignment

Penny Equilibrium Lab due!

Due:

Assignment

Equilibrium Constant Worksheet

Due:

Assignment

Finish Le Chatelier's Principle worksheet 

Due:

Assignment

#1-8 on the left side of the Le Chatelier's Principle Worksheet.  Do not complete the K column.

Due:

Assignment

Approaching Equilibrium Worksheet

Due:

Assignment

Print out the notes!

Due:

Assignment

Factors that influence reaction rates Worksheet
Study for Quiz!
Lab due!
Print out the notes!

Due:

Assignment

Reaction Rates Worksheet

Due:

Assignment

Potential Energy Diagram Worksheet

Due:

Assignment

Print Kinetics Notes!

Due:

Assignment

Solutions Test!

Due:

Assignment

Study Guide due!
 
Attached are the notes from yesterday (more like an FYI as it isn't required information)

Due:

Assignment

p. 468 #21-23, p. 469 #24-25, p. 470 #26-27

Due:

Assignment

Concentration Worksheet #2

Due:

Assignment

Comic Strip Due!

Due:

Assignment

Concentration Worksheet #1

Due:

Assignment

p. 461 #3, 4
p. 484 #48-51
 

Due:

Assignment

Print out solutions fill-in notes!

Due:

Assignment

Thermo test today!
 
Optional practice problems with answers:
p. 525 #78-80
p. 881 #4-6
p. 504: #20, 21
p. 525 #82, 83, 86

78:1.56 x 10^8 J
79: 30000 kJ
80: 140g of water
4: 3.74 J/gdegC
5: 0.214 J/gdegC
6: 0.900 J/gdegC
20: 2.58 kJ
21: 376 kJ
82: 287 kJ
83: 2830 kJ
86: 732 kJ

Due:

Assignment

Presentation Due Today!
 

Here is the rubric (20 points):

Participation: (1 point per person that shared - must be relatively even)

Content: (2 points per torch shared)

Synthesis: (1 point for picking a best torch or making the best torch, 3 points for justification)

Visual: (2 points for a visual aid)

Presentation Quality: (2 points well planned and executed presentation)

Due:

Assignment

Study guide due!  
 
Print out Solutions notes!
 

Due:

Assignment

Continue working on projects
 

Here is the rubric (20 points):

Participation: (1 point per person that shared - must be relatively even)

Content: (2 points per torch shared)

Synthesis: (1 point for picking a best torch or making the best torch, 3 points for justification)

Visual: (2 points for a visual aid)

Presentation Quality: (2 points well planned and executed presentation)

Due:

Assignment

Ninja Problem Worksheet
 
Answers (may vary slightly)
1. (5 steps) -144000J
2. (4 steps) -47500J
3. (3 steps) -15640J
4. (5 steps) +182000J
5. (5 steps) -121700J

Due:

Assignment

Start researching your torch!  Here are some guidelines and helps:
 

Research the torch relay from a previous Olympic event and answer the following questions:

 

What material was the torch made of?

What fuel was used?

What are the advantages and disadvantages of using that fuel?

Were there any situations during the relay that were out of the ordinary?

Any other interesting facts about the torch or torch relay?

 

Choose a Summer Olympics from 1936-2012. Note: the 1940 and 1944 were cancelled.

 

Sources:

http://en.wikipedia.org/wiki/Olympic_torch_relay

http://olympic-museum.de/index.html

 

Requirements: each member of each group must choose a different year.

                             his, you will gather your information to make an argument about which of the torches was the best one of the four chosen.

                             This will be presented in front of the class some time this week.

Due:

Assignment

Lab due and Heating and Cooling Curves Worksheet and quiz!

Due:

Assignment

Calorimetry 2 and Hfus and Hvap Worksheet!
 
Top:
2: 55.5 degC
4: Rhenium

Bottom:
1. 85,200J
3. 5.0x10^3 cal
5. -18,400J
7. -86.3 kJ
9. 172 J/g

Due:

Assignment

Calorimetry Worksheet #1

Due:

Assignment

Specific heat worksheet
 
Left:
1. 3180 J
2. -9390 J
3. 19.4 J ; 0.0194 kJ
4. -172,000 J
5. 50.0 °C
6. 0.444 J/g°C

Right:
1. 4080 J
2. -5.00 x 10^3 cal
3. 6.0 g
4. 5.0 x 10^1 g
5. 30.0 °C
6. 23 °C
7. 30. °C

Due:

Assignment

Print out notes and Answer the following questions:
 

1).p. 414-415 #39, 41, #58

2).What solids have the highest melting and boiling points? What are some examples of them?

3).What types of solids are the following: copper, potassium nitrate, glass (silicon dioxide), diamond, iodine?

4.) Fill in the blanks: 

a) condensation: __________ to ____________

b) sublimation: __________ to ____________

c) fusion: _________ to ___________

d) freezing: _________ to __________

5) Define boiling point (use your notes).

 
IMF Quiz today!
 
Print out the next set of notes!

Due:

Assignment

Finish worksheet and print out notes

Due:

Assignment

IMF and Forces of Attraction Worksheet

Due:

Assignment

Intermolecular Forces Worksheet

Due:

Assignment

Print out Fill-in Notes

Due:

Assignment

Gases Test!
 
Review attached below
 
Article found here: pressure_cooking.pdf

Due:

Assignment

 Study Guide

Due:

Assignment

 p. 388 #1-2, 392 4-6, p. 878 Ch. 13 #1-2, p. 879 Ch. 13 #4
 
Bring your book!
 
BTW, effusion means diffusion through a small hole but essentially you would treat those effusion questions just as you would a diffusion question.  In other words, just replace the word effusion with the word diffusion.

Due:

Assignment

Ideal Gas Law Worksheet and Gas Law Quiz through Molar Volume   

Answers:

1. 0.0102 mol
6. 5.33 L

Due:

Assignment

Mole and Volume Worksheet AND p. 441 #56-58 and p. 443 #61, 64 and Absolute Zero Lab due!

Due:

Assignment

Gas Law Worksheet
 
Selected Answers:

2. 682 mL
6. 221 kPa
7. 10,600 K

Due:

Assignment

Boyle's Law/Charles's Law Worksheet

Due:

Assignment

Pressure Units Worksheet

Due:

Assignment

Stoich Test!!!

Optional Problems on p. 877 and 878.  Ch.12

Answers:
5: .600 mol HCl
6: 2.29 mol Cr2O3
7: 924 g carbon dioxide
8: 314 g sulfuric acid
9: 1.31 g carbon dioxide
10: 195.7 g aspirin
11: benzene is limiting, 4.2 g chlorine in excess, 64.8 g chlorobenzene produced
12: HCl is limiting, 2.99 g Ni in excess, 4.44 g NiCl2 produced
13: theo. yield: 26.4 g SnI4, 94.7% yield
14: theo. yield: 41.4 g NaAu(CN)2, 93.7% yield

Due:

Assignment

Finish Study Guide and print out Fill-In Notes.  Gases!  PV=nRT-hee!  YAY!!!
 
Also, Rice Krispies Lab due today!

Answers to the study guide:
1a: 0.307mol O2
1b: 0.313mol NO2 (14.4g NO2)
1c: 1.3mol N2O
1d: 4.00mol NO2, 93.8% yield
2a: 18.8g SO2
2b: 494.7g H2O
3a: 15.4g PbI2
3b: 56.3%
4, System #1a: 1, 2, 1, 1 b: 5.78g Ca(OH)2 c: CaC2 d: 2.2g H2O
4, System #2a: 1, 1, 5, 4, 1 b: 6.15g H3BO3 c: Na2B4O7 d: 2.6g H2SO4, 2.8g H2O 
 

Due:

Assignment

Complete % Yield Worksheet

Some answers:
Example 1: 78.3%
Example 2: 51%

#27: 92.1%
#28: 88.2%
#29: 84.48%

#77: 4.00 mol Fe(OH)2 
#80: 39.8g NH3     
#85a: 186.6g PbO b: 91.10%

Due:

Assignment

 Limiting Reactant Worksheet Due
 
Also, each group bring a spatula and a pan!

Answers:

Example 1: 50.7g iodine
Example 2: 12.5g zinc iodide

p. 368 #20c: 69.92g iron #20d: 13.65g sodium left over
p. 368 #21b: 28g water #21c: 60.0g glucose

#2: 31.9g sodium nitrate
#3: 46g calcium phosphate

Due:

Assignment

Review Worksheet Due!